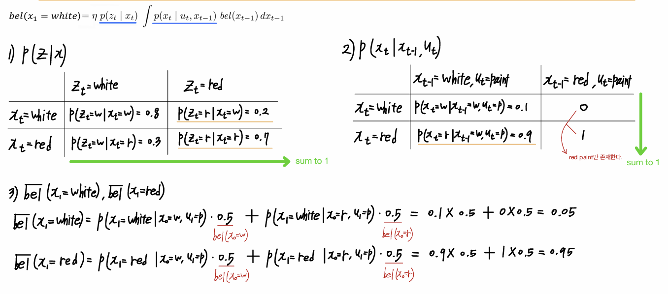
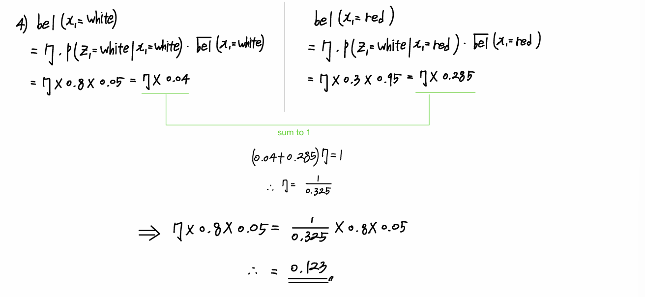
- State EstimationGiven Observation(z) / Controls(u)bel을 2가지 Stpe으로 나눠서 진행
Quiz) R,G,B,D 센서는 실내에서 주로 사용하고, 측정 거리가 짧다. (O)
Observation model

- Model for Laser Scanners

- Beam-based Proximity Models
- Simplest Ray-cast Model을 더 Advance한 형태이다.
- 4개의 모델이 혼합된 형태이다.
- Measurement Noise

- 가장 간단한 형태 (Simplest Ray-cast Model)
- 로봇의 위치와 map은 알고 있다고 가정한다.
- Unexpected Obstacles

- 움직이는 물체에 대한 분포
EX) 나와 벽 사이에 지나가는 물체가 걸릴 확률
움직이는 물체는 모두 Uniform distribution으로 존재한다고 가정하더라도, 로봇과 가까운 쪽에서 측정될 확률이 높다.

- Random measurement

- Random하게 일어날 수 있는 확률
EX) 벽이 뚫리는 확률
- Max range

- Sensor가 젤 수 있는 Max보다 더 크면 Max로
위의 4가지 모델을 합치면 아래와 같은 형태가 된다.

모델 파라미터들은 어떻게 Fitting 하지?
=> Sonar/Laser Sensor를 이용한다.
- Beam-Endpoint Model
- 로봇의 위치는 신경 쓰지 않고 map이 주어져 있으면 map을 기반으로 P(z|x,m)을 바로 만들 수 있다.
=> map을 기반으로 P(z|x,m)을 만든다.
=> map만 있으면 반전시키고, blur 시켜서 바로 likelihood field를 만들 수 있다.
- Range-Bearing Sensors (거리-방향)
- 거리는 안나오지만 방향만 안다.
# 시험







